《奇石情缘》之 三——湖州寻石(1956届初三甲班 周德藻)

2014/10/23

三、湖州寻石

湖州地处太湖南岸,地杰人灵。湖州的卞山郁郁葱葱,生机盎然,是太湖石的重要产地,据说当年宋徽宗“花石纲”所选石峰,诸如苏州留园的“冠云峰”、上海豫园的“玉玲珑”等,都是采自湖州卞山。可想而知,湖州地区的名石奇峰也一定不少。

1、长兴多面神石

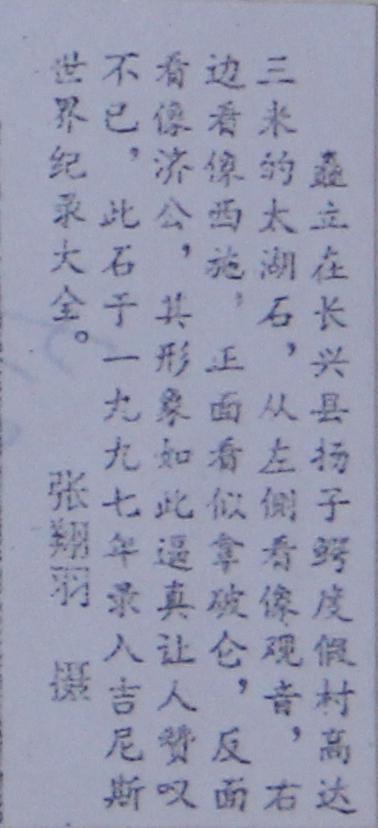
一次偶然的机会,我在一张小报上看到了一篇报导:

矗立在长兴县扬子鳄度假村高达三米的太湖石,从左侧看像观音,右边看像西施,正面看似拿破仑,反面看像济公,其形象如此逼真让人赞叹不己,此石于1997年录入吉尼斯世界纪录大全。

这条消息引起了我的兴趣。2000年3月,从山东返回杭州的旅途中,我决定从常州下车,再坐长途汽车赶到长兴,此时,夜幕已经降临。

从长兴汽车站出来,几位三轮摩托车夫围上来。

“去哪里?”

“去扬子鳄度假村。”我没加思索脱口而出。

“八元。” 

“怎么这么贵,六元去不去?”我习惯性地砍起价来。

“上车吧。”终于一位中年车夫说了句。

我就坐上三轮摩托车走了。路越走越远,路灯越来越少,很快走出了市区。我们沿着一条双车道的马路向前驶去,两边的树林在夜风吹拂下,发出沙沙的响声,见不到行人和车辆,只有高空悬挂的上弦月发出朦胧的月光。

“师傅,还有多远?”

“别急,我肯定送你到目的地!”

“墓地?”我一惊,追问一句,“度假村还有多远?” 

“还有十几里路吧”

“师傅,我不去了!回去!钱我照付!”我忽然害怕起来。

可是,哪里由你说了算?三轮摩托车继续往前行驶,三月天气乍暖还寒,一阵冷风吹来,令人毛骨悚然,我紧紧捂住皮夹克上衣,只能听天由命了。

终于,车停在了两扇紧锁的大门前,车夫指着旁边的小门说:进去吧,前面有灯光处就是总服务台。我赶紧掏出10元钱,说了声“不用找了,谢谢!”就跑进了小门,向着灯光径自走去。度假村的院子很大,从小门到总台少说也有二百多米远,四周静悄悄的,夜幕中只见有二个很大的水塘反射出淡淡的月光。

我下榻在水塘边的度假村(2000年)

我径直奔向总台,一口气问了服务员好几个问题:

“这里是扬子鳄度假村吗? ”

“离县城有多远?” 

“这里是否有一块多面神石?”

“有单间或标准间吗?”

总台服务员是位漂亮的江南女子,没等我说完,便抢着问:“你是不是下午打电话来的哪位先生?”得到确认后,便笑着说:“这里就是扬子鳄度假村,离县城有二十多里路。你先住下来休息,明早再去看多面神石吧。你来得太晚了,单间和标间都没了,但有一个6人大间,无人住,按照单床收你钱。供热水的时间已过了,我再去把热水泵打开,给你送半小时热水。”

“谢谢,谢谢。”我的心终于踏实下来了。

我仔细看了一下度假村的介绍资料,这块多面神石应该是于1997年录入的《大世界基尼斯纪录大全》的,而那张小报介绍的是于1997年录入《吉尼斯世界纪录大全》的,我印象中,这两个《纪录大全》应该不一样,前者是指在中国范围内验证的纪录,总部在上海,创建于上世纪九十年代;而后者却是指世界范围内验证的纪录,总部在英国,创建于上世纪五十年代。这小小的纰漏,不知是一时疏忽还是故意失误的?无须深究。好在无论如何,那块多面神石总是对我有着强烈的吸引力的。

              

小报资料(2000年)                 基尼斯证书(2000年)

第二天清早,我打开窗户,晨霭还未散尽,只见远处一座峰石屹立在水塘侧畔,在朦胧的晨雾中还真显得有点壮观。据说,水塘是放养扬子鳄的,只因天气还未回暖,扬子鳄还没有放出来,来到扬子鳄度假村,却没有见到扬子鳄,也算是一点小遗憾。然而,我是冲着“多面神石”来的。

 

叱吒风云的将军(2000年)     潇洒倜傥的济公和尚(2000年)

带着强烈的好奇心,我直奔“多面神石”,偏偏又淅淅沥沥地下起雨来,江南三月的天气,就是这样,惹人欢喜惹人忧。细雨中,我用傻瓜相机拍摄了几张不同角度“多面神石”的照片。顾不得细细品尝,就匆匆地离开了。

虽然是在阴雨天,用胶卷傻瓜照相机拍摄的,又进行了翻拍,照片的质量特别差。但这里展现的几张照片仍然能彰显出多面神石的雄姿来。

     

窈窕淑女 (2000年)                  下凡神女(2000年)

走出那个小门,想起昨晚来的时候,真是有惊无险,我得感谢那位电动三轮车车夫给我留下了一个很有激情的回忆。走到路口,等了好久,终于截住了一辆出租车,请司机为我在“扬子鳄度假村”石峰旁留了个影。路边这么高大的一块峰石,来的时候,居然没有看到,足见昨晚的天色实在太黑了。

回到杭州,将胶卷冲成照片。一张张看下来,觉得这块多面神石还真有些神奇。凡园林景观石,可四面观赏者,可称为极品,可三面观赏者,可称为上品,可二面观赏者,可称为中品,仅可一面观赏者,称之为平品。然而这座多面神石,从正面看恰似一位叱吒风云的将军,从背后看又如那摇着蒲扇的济公和尚,而从两侧看既像是窈窕浣纱女又像是下凡观音。真可算是一座极品太湖石了。

这是十几年前的事了,回忆起来,仍然有点兴奋。

扬子鳄度假村(2000年)

据说,现在扬子鳄度假村已扩展为国内第二大扬子鳄自然保护区,范围扩大了许多,包括:扬子鳄自然繁殖母子湖、鳄鱼系列池、钓鱼馆、人鳄共乐馆、鳄鱼标本陈列室、扬子鳄村等,几番春秋,不知这块“多面神石” 安然无羔否?

如有机会,我真想再去看一看。

2、南浔三大奇石

2009年4月社区组织退休人员到南浔旅游,使我有机会到南浔去寻找奇峰异石,这也是一个机会

• 啸石

啸石在湖州南浔的嘉业藏书楼前。

嘉业藏书楼是我国近代最著名的藏书楼之一。因为末代皇帝溥仪曾题赠“钦若嘉业”的九龙金匾和赏赐“杭心希古”的匾额,所以楼主刘承干就以此作为楼名。嘉业藏书楼楼前有水塘,用太湖石布景,风景优美;四周没有围墙,只有河道,外面的景色与藏书楼看起来浑然一体。

      

 用太湖石布景的水塘               “钦若嘉业”的九龙金匾

啸石就在藏书楼前的花园里,啸石中间有一孔洞,据说,人吹之,其声如虎啸,因而也称为“虎啸石”,被誉为“南浔三大奇石”之首,啸石左上方有清代乾隆年间云贵总督阮元所题的“啸石”二字,涂以红色,清晰可见。此石本为阮元的故物,后来被刘承干以五百银圆的价格购得,置于藏书楼前的花园中。

                    

嘉业藏书楼前的啸石(2009年)

• 鹰石

鹰石在南浔的张石铭故居内。

  张石铭故居被称为最具有中西结合建筑风格的私家民宅,号称“江南第一宅”,整座宅屋坐南朝北,有别于中国坐北朝南的传统建筑风格。

二进院正面大厅,面阔三间,叫“懿德堂”,以颂扬母亲一生的功德;

三进院为内厅,两侧的窗棂上镶有石刻的彩色蕉叶,形态逼真、雕工精良,因此称为“芭蕉厅”。厅前的天井里有一块天然假山石,取名为“鹰石”,形如凌空腾冲,展翅飞翔,乃江南罕见的石中珍品。该石采自于广东英德,也是“南浔三大奇石”之一。

令人不解的是:这只雄鹰,却面对着一堵高高的围墙,前路被堵,孤零零的,似乎有些无奈和惆怅。

                                       

张石铭故居内的鹰石(2009年)

• 美人照镜石

“南浔三大奇石”的第三块名石:美人照镜石。

原在张石铭的另一处宅院——适园。

日军占领南浔期间,适园遭到大规模的损毁,适园现已荡然无存。只剩下一块“美人照镜石”和一座长生塔,据说现存在南浔儿童公园内。

遗憾的是,笔者没能找到“美人照镜石”,此地留余兴吧。

3、湖州莲花峰和五老峰

2013年春节聚会上,胞弟德正知道我爱石,告诉我湖州有奇石“莲花峰”。于是,当年秋天,我和妻子又开始踏上了湖州的寻石之路。

莲花峰在湖州市区的莲花庄公园内,现为市级文物保护单位。

莲花庄在历史上是著名的园林胜地、元时为杰出书、画家赵孟頫的别业。赵孟頫幼年在此读书,数百年来,这里以“碧水风荷、景色幽绝”著称。有诗云:“荷花盛开,锦云百倾”,实为吴兴一绝。

从杭州乘火车到湖州不足一小时,下了火车便直奔莲花庄公园,司机建议我们从“潜园”门口进去。

         

古典园林潜园

“潜园”是晚清四大藏书家之一陆心源的私家花园。1986年,市政府重建莲花庄,把青年公园和潜园连成一片,建成了一个园林式的公园。

花妃寏门景

走进潜园大门,往左转入“花妃寏”。寏,指院落。只见:幽深院落,曲径回廊,别有一番风韵。

一弯形似如意的水池旁,立有成环状的五座太湖石。

中间一座尤其高俊挺拔、鹤立鸡群,高3.8米,顶部恰似含苞初放的莲花。其名为莲花峰。 

  

莲花峰(2013年)

此石是太湖石中精品,原是赵孟頫“松雪斋”的故物,上刻“莲花峰”篆体三字,系其手迹,字体遒劲,入木三分。

    明代沈梦麟《松雪斋池中太湖石诗》,吟咏的当指此石:

魏公池上玉芙蓉,元气淋漓湿贝宫,

汉女梳头云冉冉,无丁凿翠雨珑珑。

……

陆心源修建潜园时,又觅得形态各异的四峰太湖石,伴立于莲花峰两侧,俗称“太湖五老峰”。五老峰亭亭玉立、超凡脱俗、孔洞奇巧、姿态各异。

其中最右侧一峰中有三个穿透的孔洞、下有二个不认识的字,不知该怎么读,更不明其意;而最左侧一峰,藤和石互相缠绕、藤从石孔中穿进穿出、纠缠不清,甚为稀罕。

   

太湖五老峰(2013年)

     

  最右侧的石峰(2013年)         最左侧的石峰(2013年)

告别莲花峰,我们绕过山坡,听着悠扬的由游客在临水“西亭”吹奏出的笛声,沿着公园的湖畔巡游。莲花庄公园有着广阔的水面,碧波清风、波光粼粼、景色宜人;许多建筑临水而立,体现了江南水乡特有的风格。

赵孟頫的铜雕像在“苕上辋川”。邻近莲花庄主体建筑“松雪斋”。“苕”指的是苕溪,发源于天目山的东、西苕溪都流经湖州进入太湖,所以苕溪在这里指的就是湖州;赵孟頫十分景仰盛唐时著名诗人王维,故取名模仿王维别墅“辋川庄”,王维曾在那里过着悠闲的“半官半隐”的生活。“苕上辋川”意思就是赵孟頫在湖州的辋川庄。雕像两侧各有一方玲珑剔透的太湖石,据说这二方太湖石是根据《三希堂化谱》为兰本,仿缀而成的,造型独特、别具一格;太湖石有黄竹相伴,在这些金黄色的竹竿上似镶嵌着一条条绿色的条纹,这种竹子有一个很好听的名字——“黄金嵌碧玉”;

《石妙三品》四字(2013年)

雕像上方有《石妙三品》四字,关于《石妙三品》四字的含义,有一些不同的说法。一位导游在介绍:三品是指太湖石、黄竹和赵孟頫的小眼睛。这种说法有点离谱。

我的看法是:品相好的石峰可以官封三品。

年轻时游泰山,曾见过秦始皇封赏的“五大夫松”;2000年游嵩山,又见到过汉武帝刘彻当年登游嵩山加封中岳后,曾在嵩阳书院加封的“将军柏”。又据说,梁武帝曾为南京同泰寺(现鸡鸣寺)前的四块太湖石御赐三品。

山可受封,树可受封,当然石也可以受三品官爵的封赏了。

赵孟頫的铜雕像两侧各有一方玲珑剔透的太湖石(2013年)

湖州是一座具有2300多年历史的江南古城、文化之域。我们来到湖州肯定要去游览“湖州三绝”的,那就是:塔中塔、庙中庙、桥中桥。然而,潜园的“莲花峰”却给我们留下了难以抹去的印象,这次旅行就是为“莲花峰”而来的。

                 

二位年逾古稀的老人在莲花峰前合影留念(2013年)

上一条 《奇石情缘》之二——杭州探石(1956届初三甲班 周德藻)
下一条 铭心之忆——《华东师大一附中64届学生毕业50周年纪念册》前言(64届高三丙班 欧阳靖)